十大正规买球网站
欢迎访问舞钢市人民政府门户网站! 今天是
微信
智能问答
繁體版
本网站已支持IPV6
进入适老模式
无障碍阅读
首页
新闻中心
营商环境
政府信息公开
互动交流
走进舞钢
政府数据
政务服务
您当前的位置:
首页
-
政府信息公开
-
公共企事业单位信息公开
-
供电
-
公共服务
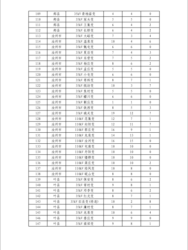
平顶山供电公司电网可开放容量及受限情况
发布日期:2022-10-28
来源:
浏览次数:
次
打印此稿
关闭窗口
上一篇:
下一篇:
舞钢市供电公司服务标准及承诺
足彩平台
十大正规赌博平台大全
世界杯十大买球平台推荐
世界杯投注官网,世界杯压球网站
澳门美高梅博彩官网